📝 문제 목록
- [🥈3] 1735 - 분수 합
- [🥇4] 1197 - 최소 스패닝 트리
- [🥇3] 2252 - 줄 세우기
개인적으로 공부한 내용을 작성한 것으로 틀린 부분이 있을 수 있습니다
틀린 부분이 있다면 지적해주시면 감사하겠습니다🙏
스터디 끝난지가 한참됐는데 글을 이제야 쓴다. 무슨 생각하면서 풀었는지 다 까먹었는데 어쩌지-_-;; 그냥 그때 풀면서 끄적여뒀던 메모라도 좀 정리해서 적어봐야겠다.
1. 분수 합
두 분수의 합을 기약분수 형태로 나타내는 문제.
그냥 분모를 최소공배수로 만들어 더한다음 분자와 분모의 최대공약수로 나누었다. 최대공약수는 재귀를 이용한 유클리드 호제법으로 구했다. 금방 풀었던 문제.
코드
1
2
3
4
5
6
7
8
9
10
11
12
13
14
15
16
17
18
19
20
21
22
#include<iostream>
using namespace std;
int GCD(int a, int b) {
return ((a % b == 0)? b: GCD(b, a % b));
}
int main() {
ios_base::sync_with_stdio(false);
cin.tie(NULL);
cout.tie(NULL);
int numerator[2], denominator[2];
cin >> numerator[0] >> denominator[0] >> numerator[1] >> denominator[1];
int res_numer = numerator[0] * denominator[1] + numerator[1] * denominator[0];
int res_denom = denominator[0] * denominator[1];
int res_gcd = GCD(res_numer, res_denom);
cout << res_numer / res_gcd << " " << res_denom / res_gcd << "\n";
}
2. 최소 스패닝 트리
제목이 곧 내용이다.
이건 아마 MST를 예전에 공부했었는데 기억이 잘 안나서 복습하고 다시 풀었던 것 같다. 크루스칼 알고리즘을 사용해 풀었고 과정을 간단히 설명하면 이렇다.
- 간선을 오름차순 정렬
- 가중치가 적은것부터 체크하면서 양쪽 정점이 서로 다른 집합에 속해있을 때만 결과값에 넣는다(넣고 같은집합으로 만든다).
- 2 작업을 v-1번 한다.
그런데 유니온파인드를 제대로 이해하지 못한 탓에 TLE와 WA를 한번씩 받았다.
같은 그룹에 속해있는지 판단하기 위해 루트 노드를 비교할 때, 배열에 저장된 값으로 비교할 것이 아니라 Find()를 호출한 값으로 비교해야 한다.
코드
1
2
3
4
5
6
7
8
9
10
11
12
13
14
15
16
17
18
19
20
21
22
23
24
25
26
27
28
29
30
31
32
33
34
35
36
37
38
39
40
41
42
43
44
45
46
47
48
49
50
51
52
53
54
#include<iostream>
#include<vector>
#include<algorithm>
using namespace std;
int root[10001];
int Find(int index) {
return ((root[index] == index) ? index : root[index] = Find(root[index]));
}
void Union(int index_a, int index_b) {
index_a = Find(index_a);
index_b = Find(index_b);
root[index_b] = index_a;
}
int main() {
ios_base::sync_with_stdio(false);
cin.tie(NULL);
cout.tie(NULL);
int v, e;
long long mst_weight = 0;
vector < pair<int, pair<int, int>>> edges; // 가중치, 노드A, 노드B
cin >> v >> e;
for (int i = 1; i <= v; i++) {
root[i] = i;
}
for (int i = 0; i < e; i++) {
int a, b, c;
cin >> a >> b >> c;
edges.push_back({ c,{a,b} });
}
sort(edges.begin(), edges.end());
int cnt = 0;
for (const auto& edge : edges) {
if (cnt == v - 1) break;
int a = edge.second.first;
int b = edge.second.second;
if (Find(a) != Find(b)) {
mst_weight += edge.first;
Union(a, b);
cnt++;
}
}
cout << mst_weight;
}
3. 줄 세우기
두 학생의 인덱스와 둘의 키 대소관계만이 담긴 데이터가 M개 주어지면 그것을 이용해서 키 순서대로 정렬해야 하는 문제다.
처음엔 트리를 사용해야 하나 했는데 그건 아니었고.. 뭔가 알고리즘이 그리 복잡하지는 않을 것 같은데 하는 생각은 들면서도 좋은 풀이가 영 떠오르지 않아 결국 알고리즘 힌트를 얻고 풀었다. 위상정렬 문제는 이번에 처음 접해서 먼저 개념부터 익혔는데, 생소한 용어에 겁을 먹어서 그렇지 풀이를 알고나니 그렇게 어렵지는 않았던 것 같다.
일단 위상정렬에서 위상(Topological, 位相) 이란 어떤 사물이 다른 사물과의 관계 속에서 갖는 위치나 양상을 말한다.
즉 그냥 각 정점과의 관계를 고려하여 순서를 거스르지 않도록 정렬하란 뜻이다. 이때, 그래프 형태는 유향 비사이클 그래프(DAG)여야 한다.
위상정렬의 대표적인 예가 대학의 선수과목 구조이다. 어떤 과목을 수강하기 위해서는 그전에 꼭 들어야 하는 과목이 있는 것처럼, 각 정점 간에 어떤 관계가 있으며 그것을 역행하는 경우가 없도록 순서대로 정렬이 되어야 한다.
단, 답이 여러 가지일 수 있는데 문제에서는 그럴 경우 아무거나 출력하라고 되어 있다.
여러 방법으로 위상정렬을 구현할 수 있지만 나는 DFS의 순회 결과를 뒤집는 방법을 사용했다.
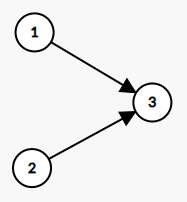
간단히 설명하자면 이렇다. 예를 들어 2 번이 3 번보다 크고, 1 번이 3 번보다 크다고 하자. 그걸 그래프로 나타내면 아래와 같다.

답은 1-2-3 또는 2-1-3 일 것이다. 1 과 2 의 대소관계는 모르지만 어쨌든 3 을 방문하기 전에는 항상 1, 2 를 먼저 방문해야 한다.
예시 그래프가 좀 단순하기는 한데, 먼저 방문해야 할 것들을 끝까지 방문해야 한다는 점에서 DFS를 응용한 것이다. 단, 그러기 위해 간선의 방향을 반대로 바꿔주어야 할 것이다. 그리고 이 문제에서는 키가 큰 순서대로 정렬하라고 했으므로 순회 결과를 반대로 출력해야 한다.
코드
1
2
3
4
5
6
7
8
9
10
11
12
13
14
15
16
17
18
19
20
21
22
23
24
25
26
27
28
29
30
31
32
33
34
35
36
37
#include<iostream>
#include<vector>
using namespace std;
bool is_visited[32001];
vector<int> edges[32001];
void DFS(const int& index, const int& n) {
is_visited[index] = true;
for (const auto& v : edges[index]) {
if (!is_visited[v]) {
DFS(v, n);
}
}
cout << index << " ";
}
int main() {
ios_base::sync_with_stdio(false);
cin.tie(NULL);
cout.tie(NULL);
int n, m;
cin >> n >> m;
fill_n(is_visited, n, false);
for(int i = 0; i < m; i++) {
int a, b;
cin >> a >> b;
edges[b].push_back(a);
}
for (int i = 1; i <= n; i++) {
if(!is_visited[i]) DFS(i, n);
}
}